矿用提升机钢丝绳换绳车同步齿轮特性分析(2)(图文)

时间:2024-06-22 08:35:30  点击数:


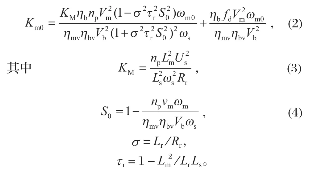
2 换绳机构马达输出转矩分析
换绳机构采用双液压马达驱动,以带动同步带轮和链轮转动,进行送绳,其能量传递过程如图3所示。在整个能量传递中,受排量、效率、液压等因素的影响,液压马达输出转矩会产生波动。因此,需要通过公式推导得出输出转矩的波动函数。
 

图3 送绳机构的能量传递过程

液压系统在角速度 ω0 附近发生微小波动,其转矩输出



式中:Tm0 为输出转矩,N·m;Tm 为稳定输出转矩,N·m;Km0 为刚度系数;λ 为波动系数。


式中:np 为电动机的极对数;Vm 为液压马达的排量;ωs 为电网供电频率;Ls、Lr、Lm 分别为定子电感、转子电感以及定子与转子之间的互感;Us 为端电压。
初步选定系统性能参数如下:选取三相异步电动机(380 V,50 H z,4极,Δ 连接,额定功率为75kW,额定转速为1490 r/min),定子电感 LS=0.075H,转子电感 Lr=0.075H,互感 Lm=0.075H,电动机转轴的阻尼系数 fd=0.01,转子电阻 Rr=0.0779Ω;选取型号相同的液压泵(排量 Vb=2034mL/r,容积效率 ηbv=0.95,机械效率 ηb=0.95),以及其型号相同的液压马达。马达角速度 ωm0=1.26r ad/min,稳定输出转矩 Tm=6000 N·m,由此可得:



当波动系数 λ=1000 t 时,t 为0~0.3s,此时波动输出转矩


当波动系数 λ=300 sin 32t 时,此时波动输出转矩


当波动系数 λ=20 e10 t 时,此时波动输出转矩


以上3种波动函数如图4所示。

图4 3种波动函数



Baidu
map